为推动混凝土材料设计创新,促进混凝土材料产业高质量发展,中国混凝土与水泥制品协会已连续举办了13届全国混凝土设计大赛。目前,大赛已成为促进我国混凝土行业材料技术进步与应用创新的重要技能竞赛活动。由中国混凝土与水泥制品协会主办,预拌混凝土分会、教育与人力资源工作委员会共同承办的第14届全国混凝土设计大赛定于2024年5月30-31日在南京市举办。现将今年会参赛事宜通知如下:
一、参赛对象
本校本科生及研究生均可自愿报名,以团队形式参赛(每队不超过5人),今年会择优组织队伍参赛。
二、参赛时间
本次大赛将于2024年5月30-31日进行。
三、参赛内容
基于混凝土强度和密度的混凝土配合比设计,进行轻质混凝土制备,要求体积密度不大于1950kg/m3,要求混凝土抗压强度不小于80MPa(详见http://www.ccpa.com.cn/site/content/16066.html)。
四、报名方式
即日起至2024年4月10日,可通过以下QQ群报名。

校内联系人:徐老师 18804609403
预祝大家在全国混凝土设计大赛中取得优异成绩。
土木与建筑学院
2024年3月20日
关于举办“中建西部建设杯”第十四届全国混凝土设计大赛的通知
由中国混凝土与水泥制品协会主办,预拌混凝土分会、教育与人力资源工作委员会共同承办的第14届全国混凝土设计大赛定于2024年5月30日-6月2日在南京市与中国混凝土与水泥制品行业大会同期举办。

各有关单位:
为推动混凝土材料设计创新,促进混凝土材料产业高质量发展,中国混凝土与水泥制品协会已连续举办了13届全国混凝土设计大赛(以下简称“大赛”)。目前,大赛已成为促进我国混凝土行业材料技术进步与应用创新的重要技能竞赛活动。
由中国混凝土与水泥制品协会主办,预拌混凝土分会、教育与人力资源工作委员会共同承办的第14届全国混凝土设计大赛定于2024年5月30日-6月2日在南京市与中国混凝土与水泥制品行业大会同期举办。本届大赛由中建西部建设股份有限公司冠名支持。现将本次大赛有关事项通知如下:
一、大赛组织
大赛坚持“公开、公平、公正”的原则,成立评审委员会,由业内知名专家组成,负责竞赛成绩评定;成立仲裁委员会,由大赛组委会和评审委员会负责人组成,负责处理异议等事项。
二、竞赛方式
比赛形式采取按要求制备试件,在大赛现场进行答辩与性能测试的方式进行。
三、大赛主题
轻质与高强:基于混凝土强度和密度的混凝土配合比设计。
其主旨为:混凝土在低体积密度强度下具有高强度,本届大赛竞赛要求混凝土体积密度不大于1950kg/m3,要求混凝土抗压强度不小于80MPa。
四、时间与地点
1.大赛时间:2024年5月30日报到
2.大赛地点:2024中国混凝土展区内(南京国际博览中心,南京市建邺区江东中路300号)
五、参赛对象及要求
1.参赛对象
本届大赛面向从事混凝土材料研究、制造和施工的相关企业以及大学、科研院所的技术人员、科技人员和在校学生。
2.参赛要求
大赛分为企业组、院校组,均以单位名义参赛。不接受企业和高校或研究院所之间联合组队参赛。参赛队以法人企业或院校为单位报名,每个单位只允许报名一支参赛队伍,每支参赛队伍由不超过5人组成,每支参赛队需有一名队长,同时作为与大赛组委会的主要联系人。参赛单位须对参赛者的诚信负责。
六、竞赛规则
有关竞赛规则详见附件1(或登陆中国混凝土与水泥协会官网http://www.ccpa.com.cn查询下载)。
七、比赛结果与授奖
1.奖项设置
本届大赛设立一等奖2名(企业组和院校组各1名)、二等奖6名(企业组和院校组各3名)、三等奖10名(企业组和院校组各5名),另根据情况,可特别设置优秀指导教师奖和绿色创意奖等专项奖项。
中国混凝土与水泥制品协会将向获奖者授予证书,并向一、二、三等奖获奖者颁发奖金(按照有关规定代扣代缴所获奖金的个人所得税)。
2.竞赛结果发布
大赛结果将在中国混凝土与水泥制品行业大会以及主办单位、组织单位及大赛合作媒体上联合发布。
八、报名及其他
1.报名时间及方式
自本通知发出之日起,大赛组委会开始接受参赛报名,报名截止日期为2024年4月30日。请参加单位将参赛报名表发送到组委会电子邮箱,参赛资格以收到的组委会的确认回执为准。
2.联系方式
中国混凝土与水泥制品协会
报名咨询:程 超 13552924293 010-57811304(办)
技术咨询:韩建国 18010182935 师海霞 13911486875
报名邮箱:ybhntfh@ccpa.com.cn
3.配合比设计方案提交
2024年5月30日10:00-13:00(注意:13:00为收样截止时间),参赛队代表需携带做好标记的参赛试块(6块)、配合比设计方案纸质材料(6份,纸面版)及拌和成型过程录像视频提交组委会接待处。(具体收样地点在组委会的确认回执中另行通知)
2024年5月30日14:00-18:00,进行试样的体积密度和抗压强度测试。2024年5月31日9:30-17:00,进行赛事(开幕式、参赛队伍答辩、结果宣布等)。
4.大赛不收取参赛者任何费用,参赛者的交通、食宿费用自理。
5.大赛不指定任何用于配制混凝土的原材料。
附件:1.第14届全国混凝土设计大赛竞赛规则
2.第14届全国混凝土设计大赛参赛报名表

附件 1
第14届全国混凝土设计大赛竞赛规则
一、大赛主题
本届大赛主题:“轻质与高强:基于强度和密度的混凝土配合比设计”。其主旨为:混凝土在低体积密度强度下具有高强度,本届大赛竞赛要求混凝土体积密度不大于1950kg/m3,要求混凝土抗压强度不小于80MPa。
二、大赛规则
1.试件制备及相关材料要求
每个参赛队应提供:
(1)配合比设计方案。内容包含配合比设计原理、选材宗旨、计算公式、经济分析等。混凝土组成材料要说明胶凝材料(硅酸盐水泥及矿物掺和料)、骨料(天然或人工的粗、细骨料)、水、纤维(合成纤维、矿物纤维、金属纤维等)、外加剂(减水、引气、保塑、增稠等功能的化学材料)等。
(2)试件。按照参赛队设定的混凝土配合比,制作尺寸为100×100×100mm的立方体混凝土试件6块,试件养护龄期为28±2天,成型的试件上必须用记号笔标明成型日期、编号等标识。
(3)试件制备视频。参赛队需提供混凝土拌和过程和拌和物出机后工作性测试过程的视频,视频时长1-2min即可,画面应显示录制日期、时间或文件有拍摄时间,工作性测试包括坍落度、扩展度,测试方法依据《普通混凝土拌合物性能试验方法》(GB/T50080-2016)。
2.报到和试件测试
2024年5月30日10:00开始报到收样,13:00停止收样;
现场测试时,由大赛工作人员随机取出3块试件,测量试件的几何尺寸,称取质量,计算试件的体积密度,依据《混凝土物理力学性能试验方法》(GB/T50081-2019)进行该3块试件的抗压强度测定,其余试件保留备用。
3.答辩要求
2024年5月31日上午9:30开始答辩,参赛队派出一名队员讲解混凝土配制思路和试配情况说明,采用ppt方式进行介绍,时长不超过5分钟,评委提问1分钟。
鼓励参赛队伍就轻质高强材料的开发和应用进行陈述,特别是能将材料开发与工程应用相结合,并给出具体的工程应用和相关数据(施工方法、用量、性能等)。
4.评分细则
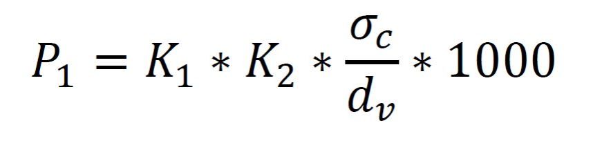
本届大赛以现场测试所得混凝土试件抗压强度(不进行标准尺寸试件的强度换算)、混凝土试件体积密度和参赛人员现场答辩情况进行综合评定。竞赛总成绩(P)由混凝土抗压强度与体积密度比值得分(P1)和配合比设计方案及现场答辩评价得分(P2)两部分构成,各项得分计算方法如下:
(1)混凝土抗压强度与体积密度比值得分(P1)

K1为混凝土体积密度因素系数,当测试所得混凝土体积密度均值dν≤1950kg/m3时,K1=1;否则,K1=0;
K2为混凝土强度因素系数,当测试所得混凝土抗压强度均值σс≥80MPa时,K2=1;否则,K2=0;
σс为混凝土试件抗压强度均值,单位为MPa,混凝土抗压强度均值的计算见“强度测试值偏差规定”部分;
dν为混凝土试件体积密度均值,kg/m3,混凝土体积密度均值的计算见“密度测试值偏差规定”部分。
(2)密度测试值偏差规定
如果3个试件体积密度测试值中的最大值或最小值,有一个与中间值的差值超过中间值的3%,则把最大值和最小值一并舍除,取中间值作为该组试件的体积密度;如最大值和最小值与中间值的差值均超过中间值的3%,P1=0。
(3)强度测试值偏差规定
参照国标GB/T50081-2019,如果3个试件的抗压强度测试值中的最大值或最小值,有一个与中间值的差值超过中间值的15%,则把最大值和最小值一并舍除,取中间值作为该组试件的抗压强度值;如最大值和最小值与中间值的差值均超过中间值的15%,则抗压强度的试验结果作废,P1=0。
(4)配合比设计方案及现场答辩评价得分(P2)
P2分值为15分,由现场评委根据参赛队设计方案的科学性、合理性、规范性、经济性、适用性等,以及现场答辩表现给予评价打分。鼓励低碳、绿色、创意、实用。
(5)竞赛总成绩(P)
竞赛总成绩P=P1+P2
5.异议处理
大赛现场测试和评分过程中如果出现争议,由大赛仲裁委员会裁决,该裁决当场生效,不可更改。
